作者:朱小愚、叶江 摄影:侯兵兵
近日,细菌研究期刊《细菌学杂志》(Journal of Bacteriology)以“The Novel Transcriptional Regulator LmbU Promotes Lincomycin Biosynthesis through Regulating Expression of Its Target Genes in Streptomyces lincolnensis”为题在线报道了国产自拍
张惠展教授课题组关于林可霉素生物合成调控的最新进展。
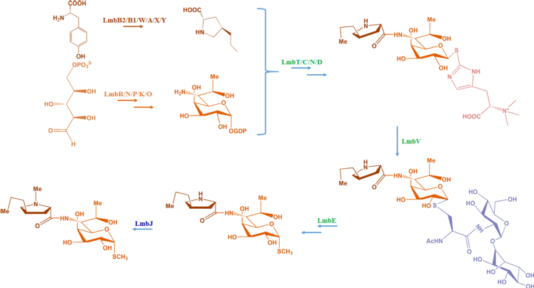
林可霉素及其衍生物广泛应用于临床医疗,但发酵效价低限制了其应用。抗生素生物合成及调控机制的解析,将为林可霉素工业生产菌的改造提供理论依据。该研究通过在林肯链霉菌中敲除与过表达lmbU基因、体外EMSA实验与体内测活等,证明LmbU为一种全新家族的途径调控因子。该研究也是林可霉素生物合成调控机制的首次报道,为后续林可霉素生物合成调控网络的解析奠定基础,也为未来林可霉素的高产研究提供了新策略。
同期,美国俄亥俄州立大学Kou-San Ju教授和加拿大麦克马斯特大学Marie A. Elliot教授联合就此研究发表评论文章,对研究工作高度赞扬,其LmbU功能的完全解析为利用基因工程方法改造菌株提供了可行的方案。
该工作由博士生侯兵兵在张惠展教授与吴海珍教授的指导下完成,并得到郭美锦教授及国家生化工程技术研究中心(上海)的大力支持。论文第一作者为侯兵兵,通讯作者为张惠展与叶江。
相关链接:
Hou B, Lin Y, Wu H, et al. The novel transcriptional regulator LmbU promotes lincomycin biosynthesis through regulating expression of its target genes in Streptomyces lincolnensis[J]. Journal of Bacteriology, 2018, 200(2): e00447-17.
New kid on the block: LmbU expands the repertoire of specialized metabolic regulators in Streptomyces[J]. Journal of Bacteriology, 2018, 200(2): e00559-17.

